Lifetime Citizen Portal Access — AI Briefings, Alerts & Unlimited Follows
Parks director outlines master‑plan priorities and warns of impact‑fee timing constraints
Loading...
Summary
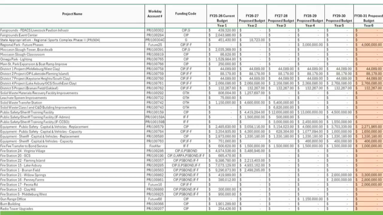
Parks Director Justin Pierce walked commissioners through the 2024 Parks Master Plan, listing priority projects across impact‑fee districts (boardwalks, community parks, boat ramp work) and reminding the board that impact‑fee revenues must be spent within eight years, which pressures timelines for unfunded projects.
Justin Pierce, Clay County director of Parks and Recreation, presented highlights from the 2024 Parks Master Plan and told commissioners the plan identifies more than 40 recommended improvements across the county that should be considered in the CIP.
"We conducted a park system master plan that was a comprehensive study of our entire park system…and since then I've been working with our Capital improvements department as well as our facilities department on what projects may be impact‑fee qualifying," Pierce said, listing top priorities by impact‑fee district, including Antler Run and Marcus Lane in District 1 and an estimated $8 million to complete Moccasin Salute boardwalk phases in District 2.
Pierce warned that impact‑fee collections have an eight‑year spend window: "I will remind the board that you only have 8 years to spend impact fee money from the time you receive it," he said, urging the board to move projects out of the unfunded list before funds expire.
Commissioners asked how lighting and field‑lighting projects fit the impact‑fee rules; staff said the previous study tied impact fees to capacity (playable fields) and did not treat standalone lighting as eligible. The board asked staff to include lighting eligibility as an item for the next five‑year impact‑fee study.
Pierce and staff said many park projects currently lack construction funding and that design work can begin earlier to accelerate shovel‑ready status when funds become available.
Staff will continue to coordinate with capital projects and the budget office to match available funding to the parks master‑plan priorities as the CIP is refined.
